
Questions and Answers Mathematics Alt.B Paper 1 (122/1)
Section I (50 marks)
1. (a) Express 4732 in terms of its prime factors. (1 mark)
4732=22x7x132
(b) Find the smallest positive nmnber that must be multiplied by 4732 to make it a perfect square. (1 mark)
22x7x132x 7=22x7x132is a perfect square.
2. Three people Juma, Weru and Njeri went round a circular racing track, 3. 12km long. They all started from the same point and moved in the same direction. Juma walked at 48m per minute,Weru ran at 120m per minute while Njeri cycled at 156m per minute.
If they started travelling at 0700 h, find the time when they were first together again. (3 marks)

3. Evaluate

4. Without using a calculator evaluate


5. Use logarithms to evaluate


6. The diagram below represents a cube of side 10cm from which a cuboid measuring xcm by xcm by 10cm is removed as shown.

Write an expression in terms of x, for the surface area of the remaining solid. (3 marks)
4x10x10+2(10 × 10-x2
7. A cylindrical tank 1.4m in diameter contains 3234 litres of water. Find the depth, in metres, of the water. (Take π =22/7). (3 marks)
The figure below represents a quadrilateral ABCD in which angle DAB = 60°, angle BCD = 30° and BC = DC = 40 cm. Side AB = AD.



11. Two employees Njoka and Okoth contributed i and % of their salaries respectively to start a project. The contribution amounted to Ksh 16 000. If Njoka contributed 2 and Okoth % of their salaries, the contribution would have been Ksh 30 O00. Calculate each person‘s salary. (3 marks)

12. Solve x – 8⋜-x⋝ 4 — 3x and represent the integral values of x on a number line. (4 marks)

13. Figure ABCDEF is a regular hexagon. Line AE and BF intersect at G.

size of angle F GE. (3 marks)
∠BAF=120°interior angle of a regular hexagon
∠AEF=∠FAE180-120
60/2=30°
in triangle EFG∠EFG=120-130=90°
FGE=180-(90+30)=60°
14. Using a ruler and a pair of compasses only, construct triangle PQR in which PQ = 8cm, A RPQ = 60° and L PRQ = 75°. Measure PR. (4 marks)

15. The marked price of a _TV set is Ksh 36 000. A dealer sold the set and allowed a 12% discount on the marked price and still made a 25% profit on the cost price. Find the cost price of the set.(3 marks)
selling price was ksh 3600×88/100
=31,680
cost price was ksh 31,680×100/125
=ksh 25,324
16. Figure A’B’C’D’ is the image of ABCD under a rotation. By construction, detennine the centre P and the angle of rotation. (3 marks)


SECTION II (50 marks)
17. A saleslady earns a monthly salary of Ksh 60 000. She gets a commission of 4% on the value of goods she sells above Ksh 250 O00 but less than Ksh 400 000. On goods sold above Ksh 400 000, she gets a commission of 7.5%.
(a) In a certain month, she sold goods worth Ksh 525 O00. Calculate her total earnings that month. (4 marks)
(b) In another month, she earned a total of Ksh 94 500. Find the value of goods that she sold that month. (6 marks)

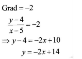
18. Lines y + 2x = 4 and 3x — y = 1 intersect at point T.
(a) Find the equation of line L] which passes through point T and (3,—2). (5 marks)

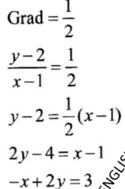
(b) A line L2 passes through (5,4) and is parallel to L]. Find the equation of L, in the form y = mx + c where m and c are constants. (2 marks)

(c) Another line L3 is perpendicular to L1 at T. Find the equation of L3 in the fonn ax + by = c where a, b and c are integers. (3 marks)

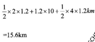
19. A car travelled from town A to town B. The car started from rest at A and moved with a constant acceleration for 2 minutes and attained a speed of 1.2 km/minute. lt then maintained this speed for a further 10 minutes before decelerating at a constant rate for another four minutes. The car finally came to rest at B.
(a) On the grid provided, draw a speed-time graph for the car. (4 marks)

(b) Use the graph to calculate:
(i) the distance, in metres, the car travelled during its deceleration; (2 marks)

(ii) the distance, in kilometres, covered by the car in the whole journey; (2 marks)

(iii) the average speed, in km/h, for the whole journey. (2 marks)
Average speed=15.6/4/15hrs
58.5km/h
20. The figure below is a square of side x cm. The square is divided into four regions A, B, C and D. Regions A and C are squares. Square C is of side ycm. Regions B and D are rectangles.

(a) Find the total area of the following regions in terms of x and y in factorised form:
(i) A and C; (1 mark)
Area of A+C=(x-y)(x-y)+y2
(ii) B and D; (2 marks)
Area of B+D=y(x-y)+y(x-y)
=2y(x-y)
(iii)A,B,C and D 2marks
(x-y)2+y2+2y(x-y)
=(x-y)(x-y)+y2+2yx-2y2
=x2-2yx+y2+y2+2yx-2y2
=x2
(b) Find the total area of B and D in terms of x given that y = 2cm.
=2(x-2)+2(x-2)
=4x-8
(c) Factorise 25c2– 16
=25c2-16=(5c)2-42
(d) Evaluate Without using mathematical tables:
(i) 50242-49762
50242-49762=(5024+4976)(5024-4976)
=10000×48
=480000
(ii) 8.962-1.042
8.962
-1.042=(8.96+1.04)(8.96-1.04)
=10×7.92
=79.2
21. The figure below represents a right pyramid VEFGH mounted on a cuboid ABCDEFGH. LineAB =6cm,DA= 8cm andAF =BG =CH=DE=3cm. LineVE=VF=VG=VH= 13cm.

Calculate, correct to 2 decimal places:
(a) the surface area of the rectangular faces;
Area of the face of a cuboid =8x6cm2
2 Area of 4 faces of the side of the cuboid =(2x8x3+2x6x3)cm2
=48+36cm=84cm2
Total 48+84=132cm2
(b) the surface area of the triangular faces.

(c) the total surface area of the solid.
=132+174.86
=306.86 cm2
22. The figure below is a solid which consists of a frustum of a cone, a cylinder and a hemispherical top.
The internal radii of the frustum are 42 cm and 2l cm. The vertical height of the original cone was 40 cm and the height of the cylinder is 30 cm


(b) the volume of the cylindrical part; (2 marks)
=22/7x21x30
= 41580cm
(c) the total volume of the solid. (3 marks)
=1/2×4/3×22/7x3
=19404cm2
Total volume = 64680+41580+19404
=125664cm2
23. Four posts A, B, C and D stand on a level horizontal ground. Post B is 240m on a bearing of 060° from A, C is 210m to the south ofB and D is 150m on a bearing of 140° from A. (a) Using a scale of l cm to represent 30 m, show the relative positions of the posts. (4 marks)

(b) Use the scale drawing to:
(i) find the distance and the bearing of C from D; (2 marks)
Distance CD=3.7×30
= 111km
Bearing of C from D=0.76°
(ii) determine how far A is to the west of B. (2 marks)
Distance of A to the west of B
= 6.9×30
= 207 km
(c) The height of post D is 18 m. Calculate, correct to 2 decimal places, the angle of elevation of the top of post D from the foot of post A. (2 marks)
tanθ18/50
=0.12
θ=tan-1
0.12
6.84°
24. The vertices of a triangle are A(—2, 2), B(2, 2) and C(2, 8).
On the grid provided, draw triangle ABC and its image A’B’C’ under a rotation of —90° about R( 1 , l ). (3 marks)
The vertices of triangle A”B”C”are A”(—1, -5), B”(~1, —3) and C”(—4, ~3) . (i) Draw triangle A”B”C”. (1 mark)

(ii) Describe fully the transformation X that maps AA’B’C’ onto AA”B”C”. (3 marks)
– enlargment
– 1/2,centre(0,–2)
Triangle A”’B”’C”‘ is the image of triangle A”B”C” under a reflection in the line x I 0. On the same grid, draw triangle A”’B”’C”’. (1 mark)
– triangle A’”B’”C’” drawn
State the type of congruence between:
(i) AABC and AA’B’C’. (1 mark)
– Directly congruent
(ii) AA”B”C” and AA”’B’”C”’. (1 mark)
– opposite congruent
